百度百科
一分钟了解热电偶38.7万 52″
热电偶
- 温度测量仪表中的测温元件
-
中文名热电偶
-
外文名thermocouple
-
所属温度测量仪表中常用的测温元件
-
常见种类标准热电偶和非标准热电偶
相关视频
更多
-
5.2万播放|02:38老师傅讲解热电偶熄火保护的工作原理 -
7793播放|01:48热电偶和热电阻的区别及分辨方法 #零基础学电工 #温控器 #电工知识 -
1.6万播放|02:30热电偶燃气灶感应针的更换方法 -
1.6万播放|03:11燃气灶松手熄火,易损件热电偶,检测判断技巧 -
2.2万播放|04:03比黄金还贵的铂铑丝你了解吗?铂铑热电偶的用途与型号有哪些 -
10.7万播放|00:52专业电工教你快速认识K型热电偶,测量温度神器! -
7.6万播放|03:00热电阻和热电偶什么区别?就一层窗户纸而已,只是没电工愿意教你 -
5425播放|00:21热电偶测温器外观展示 -
6397播放|01:34「津制仪表」热电偶与热电阻的区别与不同 -
1.2万播放|03:09温控器如何接线?热电阻和热电偶,一字之差,很多电工都会接错线 -
查看更多
-
简介
在工业生产过程中,温度是需要测量和控制的重要参数之一。在温度测量中,热电偶的应用极为广泛,它具有结构简单、制造方便、测量范围广、精度高、惯性小和输出信号便于远传等许多优点。另外,由于热电偶是一种无源传感器,测量时不需外加电源,使用十分方便,所以常被用作测量炉子、管道内的气体或液体的温度及固体的表面温度。
工作原理
当有两种不同的导体或半导体A和B组成一个回路,其两端相互连接时,只要两结点处的温度不同,一端温度为T,称为工作端或热端,另一端温度为T0 ,称为自由端(也称参考端)或冷端,回路中将产生一个电动势,该电动势的方向和大小与导体的材料及两接点的温度有关。这种现象称为“热电效应”,两种导体组成的回路称为“热电偶”,这两种导体称为“热电极”,产生的电动势则称为“热电动势”。
热电动势由两部分电动势组成,一部分是两种导体的接触电动势,另一部分是单一导体的温差电动势。
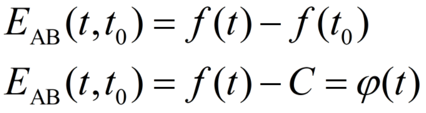
热电偶回路中热电动势的大小,只与组成热电偶的导体材料和两接点的温度有关,而与热电偶的形状尺寸无关。当热电偶两电极材料固定后,热电动势便是两接点温度t和t0。的函数差。即
![图片[13]-热电偶 - 如意-如意](http://orignx.com/wp-content/uploads/2023/02/42166d224f4a20a446237669321a8f22720e0cf37a4e.png)
这一关系式在实际测温中得到了广泛应用。因为冷端t0恒定,热电偶产生的热电动势只随热端(测量端)温度的变化而变化,即一定的热电动势对应着一定的温度。我们只要用测量热电动势的方法就可达到测温的目的。
热电偶测温的基本原理是两种不同成份的材质导体组成闭合回路,当两端存在温度梯度时,回路中就会有电流通过,此时两端之间就存在电动势——热电动势,这就是所谓的塞贝克效应(Seebeck effect)。两种不同成份的均质导体为热电极,温度较高的一端为工作端,温度较低的一端为自由端,自由端通常处于某个恒定的温度下。根据热电动势与温度的函数关系,制成热电偶分度表;分度表是自由端温度在0℃时的条件下得到的,不同的热电偶具有不同的分度表。
![图片[14]-热电偶 - 如意-如意](http://orignx.com/wp-content/uploads/2023/02/4610b912c8fcc3ce12a6059e9245d688d43f203d.jpg)
热电偶(图1)
![图片[15]-热电偶 - 如意-如意](http://orignx.com/wp-content/uploads/2023/02/f3ff252b9991cbc69f04a78f1fbe2f82.jpg)
热电偶
在热电偶回路中接入第三种金属材料时,只要该材料两个接点的温度相同,热电偶所产生的热电势将保持不变,即不受第三种金属接入回路中的影响。因此,在热电偶测温时,可接入测量仪表,测得热电动势后,即可知道被测介质的温度。热电偶测量温度时要求其冷端(测量端为热端,通过引线与测量电路连接的端称为冷端)的温度保持不变,其热电势大小才与测量温度呈一定的比例关系。若测量时,冷端的(环境)温度变化,将严重影响测量的准确性。在冷端采取一定措施补偿由于冷端温度变化造成的影响称为热电偶的冷端补偿正常。与测量仪表连接用专用补偿导线。
热电偶冷端补偿计算方法:
从毫伏到温度:测量冷端温度,换算为对应毫伏值,与热电偶的毫伏值相加,换算出温度;
从温度到毫伏:测量出实际温度与冷端温度,分别换算为毫伏值,相减後得出毫伏值,即得温度。
测温条件
是一种感温元件,是一种一次仪表,热电偶直接丈量温度。由2种不同成分材质的导体组成的闭合回路,由于材质不同,不同的电子密度产生电子扩散,稳定均衡后就产生 了电势。当两端存在梯度温度时,回路中就会有电流产生,产生热电动势,温度差越大,电流就会越大。测得热电动势之后即可晓得温度值。热电偶实际上是一种能量转换器,可将热能转换成电能。
![图片[16]-热电偶 - 如意-如意](http://orignx.com/wp-content/uploads/2023/02/ebd115a9a7d2d138794de369d0cee016.jpg)
热电偶高清图片
热电偶的技术优势:热电偶测温范围宽,性能比拟稳定;丈量精度高,热电偶与被测对象直接接触,不受中间介质的影响;热响应时间快,热电偶对温度变化反响灵活;丈量范围 大,热电偶从-40~+ 1600℃ 均可连续测温;热电偶性能牢靠, 机械强度好。运用寿命长,装置便当。
电偶必需是由两种性质不同但契合一定要求的导体(或半导体)材料构成回路。热电偶丈量端和参考端之间必需有温差。
将两种不同材料的导体或半导体A和B焊接起来,构成一个闭合回路。当导体A和B的两个执着点1和2之间存在温差时,两者之间便产生电动势,因此在回路中构成一个大小的电流,这 种现象称为热电效应。热电偶就是应用这一效应来工作的。
主要特点
1、装配简单,更换方便;
![图片[17]-热电偶 - 如意-如意](http://orignx.com/wp-content/uploads/2023/02/b90e7bec54e736d1a77240a59b504fc2d562693e.jpg)
热电偶(图2)
2、压簧式感温元件,抗震性能好;
3、测量精度高;
4、测量范围大(-200℃~1300℃,特殊情况下-270℃~2800℃);
5、热响应时间快;
6、机械强度高,耐压性能好;
7、耐高温可达2800度;
8、使用寿命长。
结构要求
热电偶的结构形式为了保证热电偶可靠、稳定地工作,对它的结构要求如下:
![图片[18]-热电偶 - 如意-如意](http://orignx.com/wp-content/uploads/2023/02/203fb80e7bec54e7b1aad6b3b9389b504ec26add.jpg)
热电偶(图3)
1、组成热电偶的两个热电极的焊接必须牢固;
2、两个热电极彼此之间应很好地绝缘,以防短路;
3、补偿导线与热电偶自由端的连接要方便可靠;
4、保护套管应能保证热电极与有害介质充分隔离。
工作原理
两种不同成份的导体(称为热电偶丝材或热电极)两端接合成回路,当两个接合点的温度不同时,在回路中就会产生电动势,这种现象称为热电效应,而这种电动势称为热电势。热电偶就是利用这种原理进行温度测量的,其中,直接用作测量介质温度的一端叫做工作端(也称为测量端),另一端叫做冷端(也称为补偿端);冷端与显示仪表或配套仪表连接,显示仪表会指出热电偶所产生的热电势。
![图片[19]-热电偶 - 如意-如意](http://orignx.com/wp-content/uploads/2023/02/c8ea15ce36d3d539d77cc36e3a87e950342ab0de.jpg)
热电偶(图4)
热电偶实际上是一种能量转换器,它将热能转换为电能,用所产生的热电势测量温度,对于热电偶的热电势,应注意如下几个问题:
1、热电偶的热电势是热电偶工作端的两端温度函数的差,而不是热电偶冷端与工作端,两端温度差的函数;
2、热电偶所产生的热电势的大小,当热电偶的材料是均匀时,与热电偶的长度和直径无关,只与热电偶材料的成份和两端的温差有关;
3、当热电偶的两个热电偶丝材料成份确定后,热电偶热电势的大小,只与热电偶的温度差有关;若热电偶冷端的温度保持一定,这进热电偶的热电势仅是工作端温度的单值函数。将两种不同材料的导体或半导体A和B焊接起来,构成一个闭合回路,如图所示。当导体A和B的两个执着点1和2之间存在温差时,两者之间便产生电动势,因而在回路中形成一个大小的电流。热电偶就是利用这一效应来工作的。
常见种类
常用热电偶可分为标准热电偶和非标准热电偶两大类。所谓标准热电偶是指国家标准规定了其热电势与温度的关系、允许误差、并有统一的标准分度表的热电偶,它有与其配套的显示仪表可供选用。非标准化热电偶在使用范围或数量级上均不及标准化热电偶,一般也没有统一的分度表,主要用于某些特殊场合的测量。标准化热电偶中国从1988年1月1日起,热电偶和热电阻全部按IEC国际标准生产,并指定S、B、E、K、R、J、T七种标准化热电偶为中国统一设计型热电偶。
|
热电偶分度号
|
热电极材料
|
|
|
|
正极
|
负极
|
|
S
|
铂铑 10
|
纯铂
|
展开全部
从理论上讲,任何两种不同导体(或半导体)都可以配制成热电偶,但是作为实用的测温元件,对它的要求是多方面的。为了保证工程技术中的可靠性,以及足够的测量精度,并不是所有材料都能组成热电偶,一般对热电偶的电极材料,基本要求是:
1、在测温范围内,热电性质稳定,不随时间而变化,有足够的物理化学稳定性,不易氧化或腐蚀;
2、电阻温度系数小,导电率高,比热小;
3、测温中产生热电势要大,并且热电势与温度之间呈线性或接近线性的单值函数关系;
4、材料复制性好,机械强度高,制造工艺简单,价格便宜。
安装
在生产中由于被测对象不同,环境条件不同,测量要求不同,和热电阻的安装方法及采取的措施也不同,需要考虑的问题比较多,但原则上可以从测温的准确性、安全性、维修方便三个方面来考虑。
为避免测温元件损坏,应保证其有足够的机械强度,为保护感温元件不受磨损应加保护屏或保护管等,为确保安全、可靠,测温元件的安装方法应视具体情况(如待测介质的温度、压力、测温元件的长度及其安装位置、形式等)而定。下面仅举几例以引起注意:
凡安装承受压力的测温元件,都必须保证其密封性。高温下工作的热电偶,为防止保护管在高温下产生变形,一般应垂直安装,若必须水平安装则不宜过长,并用支架保护热电偶。若测温元件安装于介质流速较大的管道中,则其应倾斜安装。为防止测温元件受到过大的冲蚀,最好安装在管道的弯曲处。当介质压力超过10MPa时,必须在测量元件上加保护外套。热电偶/热电阻的安装部位还应考虑其拆装、维修、校验的足够空间和场地,具有较长保护管的热电偶、热电阻应能方便地拆装。
测量方法
热响应时间比较复杂,不同的试验条件会有不同的测量结果,这是因为它受热电偶与周围介质的换热率影响,换热率高,则热响应时间就短。为了使热电偶产品的热响应 时间具有可比性,国家标准规定:热响应时间应在专用水流试验装置上进行。该装置的水流速度应保持0.4±0.05m/s,初始温度在5-45℃的范围内,温度阶跃值为40-50℃。在试验 过程中,水的温度变化应不大于温度阶跃值的±1%。被试热电偶的置入深度为150mm或设计的置入深度(选其中较小值并在试验报告中注明)。
由于该装置比较复杂,目前只有极少数单位有这套设备,故国家标准中规定允许生产厂与用户协商,可采用其他试验方法,但所给数据必须注明试验条件。
由于B型热电偶在室温附近热电势很小,热响应时间不容易测出,因此国家标准规定可采用同规格的S型热电偶的热电极组件替换其自身的热电极组件,然后进行试验。
试验时应记录 热电偶 的输出变化至相当于温度阶跃变化50%的时间T0.5,必要时可记录变化10%的热响应时间T0.1和变化90%的热响应时间T0.9。所记录的热响应时间,应是同一 试验至少三次测试结果的平均值,每次测量结果对于平均值的偏离应在±10%以内。此外,形成温度阶跃变化所需的时间不应超过被测试 热电偶 的T0.5的十分之一。记录仪器或仪 表的响应时间不应超过被试热电偶的T0.5的十分之一。
主要分类
1、按固定装置型式分类
![图片[20]-热电偶 - 如意-如意](http://orignx.com/wp-content/uploads/2023/02/2fdda3cc7cd98d108094c09c213fb80e7aec90df.jpg)
热电偶(图5)
热电偶作为主要测温手段,用途十分广泛,因而对固定装置和技术性能有多种要求,因此热电偶的固定装置分为六种:无固定装置式、螺纹式、固定法兰式、活动法兰式、活动法兰角尺形式、锥形保护管式六种。
2、按装配及结构方式分类
根据热电偶的性能结构方式可分为:可拆卸式热电偶、隔爆式热电偶、铠装热电偶和压弹簧固定式热电偶等特殊用途的热电偶。
安装要求
对热电偶与热电阻的安装,应注意有利于测温准确,安全可靠及维修方便,而且不影响设备运行和生产操作.要满足以上要求,在选择对热电偶和热电阻的安装部位和插入深度时要注意以下几点:
![图片[21]-热电偶 - 如意-如意](http://orignx.com/wp-content/uploads/2023/02/03087bf40ad162d9deadaeb111dfa9ec8b13cdd8.jpg)
热电偶(图6)
2、带有保护套管的热电偶和热电阻有传热和散热损失,为了减少测量误差,热电偶和热电阻应该有足够的插入深度:
(1)对于测量管道中心流体温度的热电偶,一般都应将其测量端插入到管道中心处(垂直安装或倾斜安装).如被测流体的管道直径是200毫米,那热电偶或热电阻插入深度应选择100毫米;
![图片[22]-热电偶 - 如意-如意](http://orignx.com/wp-content/uploads/2023/02/b812c8fcc3cec3fd2e7d6bd8d688d43f869427d8.jpg)
热电偶(图7)
(2)对于高温高压和高速流体的温度测量(如主蒸汽温度),为了减小保护套对流体的阻力和防止保护套在流体作用下发生断裂,可采取保护管浅插方式或采用热套式热电偶,浅插式的热电偶保护套管,其插入主蒸汽管道的深度应不小于75mm;热套式热电偶的标准插入深度为100mm;
(3)假如需要测量是烟道内烟气的温度,尽管烟道直径为4m,热电偶或热电阻插入深度1 m即可;
(4)当测量原件插入深度超过1m时,应尽可能垂直安装,或加装支撑架和保护套管。
正确使用
正确使用热电偶不但可以准确得到温度的数值,保证产品合格,而且还可节省热电偶的材料消耗,既节省资金又能保证产品质量。安装不正确,热导率和时间滞后等误差,它们是热电偶在使用中的主要误差。
![图片[23]-热电偶 - 如意-如意](http://orignx.com/wp-content/uploads/2023/02/4a36acaf2edda3cc03a6748d01e93901203f92d9.jpg)
热电偶(图8)
1、安装不当引入的误差
如热电偶安装的位置及插入深度不能反映炉膛的真实温度等,换句话说,热电偶不应装在太靠近门和加热的地方,插入的深度至少应为保护管直径的8~10倍;热电偶的保护套管与壁间的间隔未填绝热物质致使炉内热溢出或冷空气侵入,因此热电偶保护管和炉壁孔之间的空隙应用耐火泥或石棉绳等绝热物质堵塞以免冷热空气对流而影响测温的准确性;热电偶冷端太靠近炉体使温度超过100℃;热电偶的安装应尽可能避开强磁场和强电场,所以不应把热电偶和动力电缆线装在同一根导管内以免引入干扰造成误差;热电偶不能安装在被测介质很少流动的区域内,当用热电偶测量管内气体温度时,必须使热电偶逆着流速方向安装,而且充分与气体接触。
2、绝缘变差而引入的误差
如热电偶绝缘了,保护管和拉线板污垢或盐渣过多致使热电偶极间与炉壁间绝缘不良,在高温下更为严重,这不仅会引起热电势的损耗而且还会引入干扰,由此引起的误差有时可达上百度。
3、热惰性引入的误差
由于热电偶的热惰性使仪表的指示值落后于被测温度的变化,在进行快速测量时这种影响尤为突出。所以应尽可能采用热电极较细、保护管直径较小的热电偶。测温环境许可时,甚至可将保护管取去。由于存在测量滞后,用热电偶检测出的温度波动的振幅较炉温波动的振幅小。测量滞后越大,热电偶波动的振幅就越小,与实际炉温的差别也就越大。当用时间常数大的热电偶测温或控温时,仪表显示的温度虽然波动很小,但实际炉温的波动可能很大。为了准确的测量温度,应当选择时间常数小的热电偶。时间常数与传热系数成反比,与热电偶热端的直径、材料的密度及比热成正比,如要减小时间常数,除增加传热系数以外,最有效的办法是尽量减小热端的尺寸。使用中,通常采用导热性能好的材料,管壁薄、内径小的保护套管。在较精密的温度测量中,使用无保护套管的裸丝热电偶,但热电偶容易损坏,应及时校正及更换。
![图片[24]-热电偶 - 如意-如意](http://orignx.com/wp-content/uploads/2023/02/7dd98d1001e93901a2b941937bec54e737d196e0.jpg)
热电偶(图9)
4、热阻误差
高温时,如保护管上有一层煤灰,尘埃附在上面,则热阻增加,阻碍热的传导,这时温度示值比被测温度的真值低。因此,应保持热电偶保护管外部的清洁,以减小误差。
故障处理
热电偶输入产生故障判别法:
按照仪表接线图进行正确接线通电后,仪表先是显示仪表的热电偶分度号,接着显示仪表量程范围,再测仪表下排的数码管显示设定温度,仪表上排数码管显示测量温度。若仪表上排数码管显示不是发热体的温度,而显示“OVER”、“0000”或“000”等状况,说明仪表输入部位产生故障,应作如下试验:
![图片[25]-热电偶 - 如意-如意](http://orignx.com/wp-content/uploads/2023/02/b90e7bec54e736d1a7ac40a59b504fc2d46269e4.jpg)
热电偶(图10)
1)把热电偶从仪表热电偶输入端拆下,再用任何一根导线把仪表热电偶输入端短路。通电时,仪表上排数码管显示值约为室温时,说明热电偶内部连线开路,应更换同类型热电偶。若还是以上所说的状况,说明仪表在运输过程中,仪表的输入端被损坏,要调换仪表。
2)把上述故障仪表的热电偶拆去,换用旁边运行正常的同种分度号仪表上接入的热电偶,通电后,原故障仪表上排数码管显示发热体温度时,说明热电偶连线开路,更换同类型热电偶。
3)把有故障的热电偶从仪表上拆下来,用万用表放在测量欧姆(R)*1档,用万用表两表棒去测热电偶两端,若万用表上显示的电阻值很大,说明热电偶内部连接开路,更换同类型热电偶。否则有一定阻值,说明仪表输入端有问题,应更换仪表。
![图片[26]-热电偶 - 如意-如意](http://orignx.com/wp-content/uploads/2023/02/11385343fbf2b211f8b949e3ca8065380dd78e8c.jpg)
热电偶(图11)
4)按照仪表接线图接线正确,若仪表通电后,仪表上排数码管显示有负值等现象,说明接入仪表的热电偶“+”与“—”接错而造成的。只要重新调换一下即可。
5)接线正确仪表在运行时,仪表上排数码管显示的温度与实际测量的温度相差40度~70度。甚至相差更大,说明仪表的分度号与热电偶的分度号搞错。按热电偶分度号B、S、K、E等热电偶的温度与毫伏(MV)值的对应关系来看,同样温度的情况下,产生的毫伏值(MV)B分度号最小,S分度号次小,K分度号较大,E分度号最大,按照此原理来判别。
常见故障分析及处理:
|
故障现象
|
可能原因
|
处理方法
|
|
热电势比实际值小(显示仪表指示值偏低)
|
热电极短路
|
如潮湿所致,则进行干燥;如绝缘子损坏,则更换绝缘子
|
|
热电偶的接线柱处积灰,造成短路
|
清扫积灰
|
展开全部
温度补偿
由于热电偶的材料一般都比较贵重(特别是采用贵金属时),而测温点到仪表的距离都很远,为了节省热电偶材料,降低成本,通常采用补偿导线把热电偶的冷端(自由端)延伸到温度比较稳定的控制室内,连接到仪表端子上。必须指出,热电偶补偿导线的作用只起延伸热电极,使热电偶的冷端移动到控制室的仪表端子上,它本身并不能消除冷端温度变化对测温的影响,不起补偿作用。因此,还需采用其他修正方法来补偿冷端温度t0≠0℃时对测温的影响。在使用热电偶补偿导线时必须注意型号相配,极性不能接错,补偿导线与热电偶连接端的温度差不能超过100℃。
![图片[27]-热电偶 - 如意-如意](http://orignx.com/wp-content/uploads/2023/02/a08b87d6277f9e2f19a3d1a51f30e924b999f38d.jpg)
热电偶(图12)
主要优点
1、测量精度高。因直接与被测对象接触,不受中间介质的影响。
3、构造简单,使用方便。热电偶通常是由两种不同的金属丝组成,而且不受大小和开头的限制,外有保护套管,用起来非常方便。
选择方法
热电偶是两种不同的导体连接在一起形成的,当测量及参考连接点分别处于不同温度上时即产生出所谓的热电磁力(EMF)。连接点用途测量连接点是处于被测温度上的热电偶连接点部分。参考连接点则是保持在一已知温度上,或温度变化能自动补偿的热电偶连接点部分。
![图片[28]-热电偶 - 如意-如意](http://orignx.com/wp-content/uploads/2023/02/8601a18b87d6277f8383fe9528381f30e824fc8e.jpg)
热电偶(图13)
在常规工业应用中,热电偶元件一般端接在接头上;但参考连接点却很少位于接头上,而是利用适当的热电偶延伸线来转接到温度比较稳定的被控环境中。连接点类型接壳式热电偶连接点与探针壁物理连接(焊接),这能实现很好的热传输——即从外部通过探针壁将热量传至热电偶连接点。建议用接壳式热电偶来测量静态或流动腐蚀性气体与液体的温度,以及一些高压应用。在绝缘式热电偶中,热电偶连接点与探针壁分开并由一种软性粉末包围。虽然绝缘式热电偶的响应速度比接壳式热电偶的响应速度要慢,但它能提供电绝缘。建议使用绝缘式热电偶来测量腐蚀性环境,可理想地通过护套屏蔽来将热电偶与周围环境完全电绝缘。露端式热电偶允许连接点顶端深入到周围环境中,这种类型可提供最佳的响应时间,但仅限于在非腐蚀、非危险及非加压应用中使用。响应时间以时间常数来表示,时间常数定义为传感器在被控环境中在初始值和最终值之间改变63.2%所需的时间。露端式热电偶具有最快的响应速度,而且探针护套直径越小,则响应速度就越快,但其最大允许测量温度也就越低。延伸线热电偶延伸线是一对具有与其相连热电偶相同温度电磁频率特征的线。当连接合适时,延伸线将参考连接点从热电偶转接至线的另一端,而这一端通常位于被控环境中。
选择热电偶选择热电偶时需考虑下列因素:
1、被测温度范围;
2、所需响应时间;
3、连接点类型;
4、热电偶或护套材料的抗化学腐蚀能力;
5、抗磨损或抗振动能力;
6、安装及限制要求等。
商品服务
热电偶相关商品甄选好物优惠抢先购前去购买
© 版权声明
文章版权归作者所有,未经允许请勿转载。
THE END



![图片[2]-热电偶 - 如意-如意](http://orignx.com/wp-content/uploads/2023/02/f729e9c84a3d01b9b320ee750c3c9efa.png)
![图片[3]-热电偶 - 如意-如意](http://orignx.com/wp-content/uploads/2023/02/13220b0d21fa7fbc7cb57ada51515595.jpg)
![图片[4]-热电偶 - 如意-如意](http://orignx.com/wp-content/uploads/2023/02/2cb9e982007d9f9e3ccd0c1d45ec0b34.jpg)
![图片[5]-热电偶 - 如意-如意](http://orignx.com/wp-content/uploads/2023/02/10678068dcd2641f4e0a0f27f2d2b31a.jpg)
![图片[6]-热电偶 - 如意-如意](http://orignx.com/wp-content/uploads/2023/02/54b1914be97a26ddba3b745eab814297.jpg)
![图片[7]-热电偶 - 如意-如意](http://orignx.com/wp-content/uploads/2023/02/3447d63330e38dadbf17b77ae7512792.jpg)
![图片[8]-热电偶 - 如意-如意](http://orignx.com/wp-content/uploads/2023/02/6f63d9460dde0a41a3f6c8e44d3512e4.jpg)
![图片[9]-热电偶 - 如意-如意](http://orignx.com/wp-content/uploads/2023/02/013506fba34bd9a523d70dbd98929940.jpg)
![图片[10]-热电偶 - 如意-如意](http://orignx.com/wp-content/uploads/2023/02/0a2606dd882d629feecb1c1cb67e2aa3.jpg)
![图片[11]-热电偶 - 如意-如意](http://orignx.com/wp-content/uploads/2023/02/329cf6b0bc1d23ab7156f7de6faebf55.jpg)
![图片[12]-热电偶 - 如意-如意](http://orignx.com/wp-content/uploads/2023/02/993a447d34691234b37cf2a68f51d80b.jpg)





![[转载]高熵合金催化剂浅谈-如意](http://orignx.com/wp-content/uploads/2022/12/165509keqm3ltm3vmvayie-300x300.png)





暂无评论内容